傳媒
學校體適能獎勵計劃25週年紀念暨慶祝和香港大學成為合作夥伴:
監察及提升本港學童體適能的平台
2015年01月06日
學校體適能獎勵計劃於1990年開始推行,2015年是計劃推行的25週年紀念,協辦單位包括香港兒童健康基金,教育局及中國香港體適能總會。在這特別的週年紀念活動,協辦單位很榮幸地宣布此計劃已與香港大學李嘉誠醫學院兒童及青少年科學系成為合作夥伴。
兒童及青少年科學系全力支持學校體適能獎勵計劃,並已建立了一個全新的電子平台,該平台提供嶄新的分析工具以供政策制訂者及學校審視學童的健康與體適能水平。先導分析顯示,於2013/14年度參與計劃之本港學童的體適能較國內、新加坡及歐洲同齡學童遜色。我們今天(1月5日)舉行傳媒發布會,公布分析結果,專家亦提出多項建議,令下一代更健康。
其中一位講者,香港大學李嘉誠醫學院兒童及青少年科學系臨床副教授及香港兒童健康基金董事會成員葉柏強醫生指出:「我們認為缺乏運動是一個主要的致病原因,因此我們需要積極研究如何在學童間推動恒常運動,以增強他們的體適能。」
有關新建立的電子平台及其功能
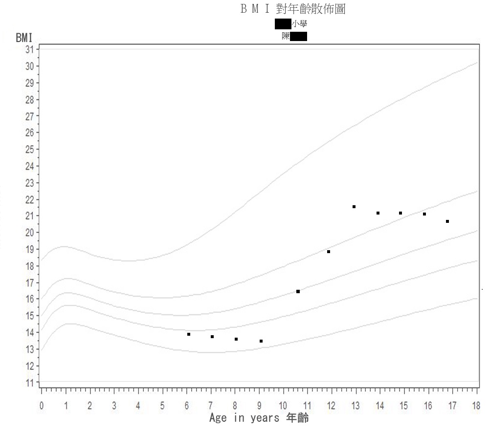
港大協助建立的新電子平台,讓決策者、學校校長及老師能更有效地確認學生的成長與體適能狀況,以此評估學校與社區層面的介入計劃的成效。如圖1及2所示,本平台的新功能讓學校將其學生的「BMI年紀散佈圖」繪制在標準成長曲線圖上,及將本年度之手握力測試結果與上年度作的比較。這些分析圖能有效地讓學校評估其學生的整體健康狀況及準確地找出在健康或體格上需要協助的學生。例如,若學校發現其學生的手握力有下降趨勢時,可以分配較多時間於上肢肌力訓練。我們期望本平台可以紀錄學生的詳細健康及體適能數據,並將之製成簡單易明的圖表,讓家長檢視其子女由小一至中六的健康及體適能趨勢(圖3)。香港大學往後將繼續監測這些數據。
分析結果
在2013/14年度,173所本地中小學上傳約100,000名學生(6至19歲)的健康及體適能數據,分析結果令人關注:約27%參與計劃之學童屬於超重或癡肥(圖4);女生的柔軟度較新加坡標準及內地平均的差(圖5);15歲男生的手握力則較內地及歐洲的低8公斤(27.0%,圖6);男生之心肺適能亦遠低於歐洲之平均,即使女生之間的差別不甚明顯(圖7)。特別值得注意的是,隨着年紀增長,參與計劃學生與外地學生的健康及體適能差距愈趨顯著。
結論及建議
學校體適能獎勵計劃為解決現時健康與體適能問題提供了切入點:全新的網上平台可以持續監察學童健康、生長及體適能的情況,亦可以同時為學校提供不同度身訂造的活動方案。我們鼓勵社區投放更多資源至體能活動上,例如預留更多體育設施予學生及學校;鼓勵學校積極參加本計劃、運用新平台的分析工具;也鼓勵家長了解更多體能活動帶來的好處,並與其子女一起運動。
有關學校體適能獎勵計劃
學校體適能獎勵計劃是一個在學童間推廣體能活動及體適能的全港性學校計劃。本計劃由香港兒童健康基金及教育局於1990年創立,在2007年得到中國香港體適能總會加入成為協辦機構,並於2013年獲香港大學李嘉誠醫學院兒童及青少年科學系的支持,建立一個嶄新的電子平台。於2013/14學年,已有超過330所本地學校在新平台註册參與本計劃。我們預計本平台在未來數年將吸引更多的學校。
背景
缺乏運動在世界各地均是重要的公共衞生課題。在2006年,香港大學估計只有6.1% 4至14歲兒童每日進行60分鐘體能活動(世界衞生組織體能活動指引)。即使這數字在2011年的官方報告中上升至8.3%,我們下一代的體格狀況仍是不容忽視的公共衞生問題。因此,我們需要提倡更多有效的方案,鼓勵學童定時運動。
如欲瀏覽新聞圖片,請登入以下網址:
http://www.med.hku.hk/v1/news-and-events/press-releases/







