目前,人們對於金屬行為的認識都來自朗道的費米液體理論(見備註一),此理論亦是凝聚態物理學、材料科學和金屬材料在工程和工業應用中的基石。然而,此理論建於20 世紀上半葉,而不少在下半葉時被發現的金屬,都出現一些不能以費米液體理論解釋的特質,這些「奇怪」的金屬被歸類為非費米液體,是物理學家一直未能解開的疑團。
由香港大學(港大)物理學系副教授孟子楊、美國明尼蘇達大學Avraham KLEIN博士與Andrey CHUBUKOV教授、美國密歇根大學孫鍇副教授、加州大學聖地亞哥分校許霄琰博士組成的國際研究團隊,通過大規模量子多體運算及分析計算,分析出非費米液體的金屬屬性,初步解開了這個困擾物理學界多年的難題,為進一步的研究鋪路。研究結果已於國際權威學術期刊《量子材料》(Npj Quantum Materials) 發表。研究獲得香港特別行政區研究資助局、科技部重點研發計劃等機構資助。
神秘的奇怪金屬
費米液體理論成功描述了大多數簡單金屬,例如金、銀、銅、鐵等在低溫下的行為。例如當溫度改變時,金屬的電阻、比熱容量等等性質,均與溫度T符合簡單的代數關係,比如電阻和溫度呈平方正比關係(ρ~T2 ),而比熱容量和溫度呈正比關係(C~T )等等。此外,費米液體理論下的簡單金屬中,電子被重整化之後,它們之間沒有相互作用,滿足相同的活動規律。
然而,在20 世紀後下半葉被發現的許多金屬,都出現超越費米液體理論的奇怪特質,這些金屬被稱為非費米液體。例如一些重費米子材料與高溫超級導體,如銅基和鐵基超導體,還有許多過渡金屬氧化物的合金,都是非費米液體的典型代表。跟簡單金屬的費米液體行為不同,它們的電阻並非跟溫度平方成正比,而是與溫度次方成正比。它們的電阻隨溫度在金屬區線性下降(而不是如費米液體中的溫度平方下降),然後到達超導轉變溫度時,電阻降為零。此外,在非費米液體理論下,電子間會發生強烈的量子多體相互作用。
非費米液體的潛在應用
物理學家現時對於非費米液體仍然沒有頭緒,因而對於掌握這類金屬和它們的工業應用還有相當的困難。但是非費米液體的高導電特質可解決能源短缺的問題,因此掌握它們的特性,對人類的福祉有極大的影響。
目前,所謂的高溫超導材料,其實仍是在零下100度左右時才能發揮超導電性;它們被稱為「高溫」,主要因為普通費米液體超導材料必須要在零下200度左右才能發揮出超導電性。因此,現時所謂的高溫超導材料,事實上只能在低溫下才得以發揮,如要把超導電性的優越性質運用到電力傳輸、工業生產和日常生活中,科學家們必須掌握高溫超導材料的非費米液體的成因,使其高導電性的特質可在室溫發揮,方能廣泛應用。
對於非費米液體的研究,在理論上的努力已經進行多年。但是由於相關問題的誤差無法估計,人們不能獲得確定性的結果。近年,凝聚態物理學量子多體問題研究中,湧現出一個新的潮流,那就是運用沒有誤差或者只有可控誤差的量子多體的數值計算,超越解析推導,取得一錘定音的结果,推動領域前進。
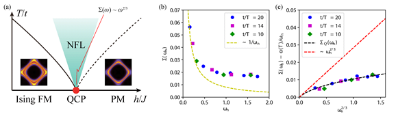
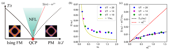
許霄琰博士、孟子楊副教授在與孫鍇副教授、Chubukov 教授等人的討論中獲得啟發,設計出瞭如圖1(a) 中所示的鐵磁量子金屬模型,然後運用大規模量子蒙特卡洛模擬的計算方法,嚴格計算了該模型的相圖和非費米液體區域的範圍(圖1(b))。接下來,研究團隊的成員通過觀察如圖2 (b) 所示的計算所得的系統自能的數據(自能(self-energy) 是量子多體系統中相互作用效果的體現),突破性地意識到,在之前的數值計算中未能明確地看到非費米液體的自能行為,原是因為沒有扣除在計算中所引入的溫度漲落,令計算結果造成誤差。
研究團隊成員(Avraham Klein 博士、Andrey Chubukov教授及孫鍇副教授)通過解析計算推導出漲落部分的貢獻形式,然後許霄琰博士、孟子楊副教授在扣除了熱漲落的貢獻之後,驚喜地發現了剩餘的自能展現出非費米液體預期的行為,如圖2 (c) 中的黑色虛線和伴隨着它的數據,在接近零溫的地方具有2/3 冪律的漸進行為。也就是說,其實在蒙特卡洛計算中可以清楚地在量子臨界區中看到非費米液體的自能,關鍵在於如何正確地設計模型和分析數據。這樣的認識,讓研究團隊的成員們都興奮異常,並為解決了一個困擾領域多年的難題而欣喜。
「現在看來,對於鐵磁量子臨界點上的非費米液體自能的研究,即通過扣除有限溫度自能的貢獻,明確地揭示非費米液體的自能和其分數化冪律的漸進行為,似乎是普適的;我們最近在一個完全不同的模型研究中,也發現了類似的自能行為。」孟子楊博士說。
孟博士和合作夥伴都認為,這次的成功只是一個開始。接下來通過模型設計和量子蒙特卡洛計算,在其他的量子臨界漲落模型中,如反鐵磁、電荷密度波、規範場漲落等等,都可以進行這樣的分析,逐步建立起如費米液體一般的非費米液體理論框架,最終解決高溫超導現象、重費米子現象等等物質科學的基本問題。「對於非費米液體這樣的難題,我們將一路追尋下去,下一個快然自足的片刻,也許明天就會到來。」
論文連結:https://www.nature.com/articles/s41535-020-00266-6
圖片下載:https://www.scifac.hku.hk/press
傳媒如有查詢,請聯絡港大理學院外務主任杜之樺(電話:3917 4948;電郵:caseyto@hku.hk)或助理傳訊總監陳詩迪(電話: 3917 5286; 電郵: cindycst@hku.hk)。
備註一:朗道是前蘇聯物理學家,凝聚態物理學的大師;費米是美籍意大利裔物理學家,量子物理學的開創者之一。