港大一年級博士生於跨維度量子體系中發現希格斯模式
有助理解維度如何影響量子系統
2021年06月16日
理論物理學家弗朗索瓦·恩格勒(François ENGLERT)和彼得·希格斯(Peter HIGGS)於2013年因發現安德森-希格斯機制,有助對亞原子粒子質量起源的理解獲頒授諾貝爾物理學獎。其實在2012年時,歐洲核子研究組織(The European Organization for Nuclear Research, CERN)在大型強子對撞機上進行超環面儀器(ATLAS)和緊湊緲子線圈(CMS)實驗,找到了該理論所預言的基本粒子,從而證實了該理論。時至今日,希格斯模式(Higgs mode)或安德森-希格斯機制(以另一個諾貝爾得獎者P.W.安德森的名字共同命名)對於質量是如何從神奇的「上帝粒子」中誕生仍有着廣泛的影響力。這種難以捉摸的「上帝粒子」被稱作希格斯玻色子 (Higgs boson)。而在凝聚態物理和量子材料研究領域上,這種「上帝粒子」的出現,實際上也是超導材料和磁性材料實驗中的重要現象。
戈德斯通模式 (Goldstone mode) 與希格斯模式的出現,都是由各種量子材料中的連續對稱性自發破缺所導致的。然而,與相對容易在量子磁體或超導體中被中子散射和核磁共振實驗所觀測到的戈德斯通模式不同,由於希格斯模式具有過阻尼(overdamping)的特性,導致它難以被清晰觀測得到。這種特性同樣出現在其「表親」希格斯玻色子身上。為了削弱這種阻尼並捕捉到清晰的希格斯模式信號,理論物理學家們提出兩項建議:一、在量子臨界點(quantum critical point)附近尋覓希格斯模式信號;二、從高維到低維的跨維度過程中(dimensional crossover)找尋希格斯模式。對於前者,人們已經有相當豐富的研究數據;與之相反,後者卻鮮有成功。
為了填補這空白,從2020年起,香港大學(港大)理學院物理與天文學研究部當時為一年級博士研究生的周成康、嚴正博士及孟子楊博士設計了一個能實現跨維度過程的耦合自旋鏈模型。利用量子蒙特卡洛方法,他們研究了該模型的激發譜。他們亦聯同中山大學的鄔漢青博士、密歇根大學的孫凱教授和猶他大學的Oleg A STARYKH教授合作,觀察其在准一維極限下的三種不同的集體激發模式,包括戈德斯通模式、希格斯模式和標量模式。結合數值模擬與理論分析,他們解釋了這些激發,並在准一維量子磁系統中發現希格斯模式的存在。這些發現不但有助獲取材料模型的關鍵參數,亦有助認識維度對凝聚態材料的重要性,研究結果已於物理學領域上最負盛名的期刊之一《物理評論快報》(Physical Review Letters)中刊登。
背景
量子材料技術經已融入日常生活中的各個方面,例如各式電子元器件、電腦芯片和太陽能電池板等,都是基於量子物理理論而製成。然而,隨着技術的發展,為迎接未來的量子材料研究和發展的要求,我們必須更深入地理解和操作各式量子多體系統中的相互作用。事實上,這種趨勢早已出現端倪。以魔角石墨烯為代表的二維摩爾(moiré)材料有着新奇物理特性,將之發揮在碳基超導材料上的反應與傳統硅基材料不同,因而受到越來越多的關注。另一方面,基於超導體理論乃至拓撲理論的量子計算理論和技術也在迅速發展,可跨越摩爾定律(Moore’s law)的物理極限,取代傳統晶片。對量子磁性材料的研究,是對量子多體系統研究中最為重要的領域之一,而對希格斯模式和戈德斯通模式的探測是揭示材料有效模型關鍵參數的重要手段。
然而,由於須要考慮數以億計的電子相互作用,人們通常很難直接從量子力學找出量子多體系統的準確信息。此時,量子蒙特卡洛數值計算便成為了研究這類量子多體系統的有效工具。這些數值計算研究往往能提供關於量子多體系統的重要信息,揭示其中的微觀機制。這些信息將刺激相應理論的發展,並指導實驗設計,幫助科學家與工程師開發更具優異性能的量子材料和器件。
希格斯模式與跨維度過程
為了研究量子多體系統的微觀機制,計算物理學家們往往會根據已有的理論認識和實驗數據,總結設計出理論模型,再依據相關理論預言,在合適的參數範圍内對這些模型做數值模擬。對量子材料中希格斯模式的探索便是這樣的一個過程。不過,在觀測希格斯模式的道路上,依舊是充滿挑戰。從量子理論的角度出發,科學家們提出兩種尋找清晰的希格斯模式信號的方法。其中一種是在量子相變點附近尋找。遵循此路,科學家們獲得不少令人欣喜的結果,例如在C9H18N2CuBr4中觀測到希格斯模式的信號等。其二是在從二維降維到一維的過程中尋找希格斯模式。如此的降維過程能削弱模型的長程序,從而抑制希格斯模式的過阻尼過程。與前一種方法比較下,這種方法相對難以實現,而留有不少空白。來自香港大學、中山大學、密歇根大學和猶他州大學的研究團隊決意填補這些空白,他們設計了一個跨維度量子自旋模型的耦合自旋鏈(如圖一所示)。
研究團隊通過在一維海森堡鏈的基礎上引入多條鏈間的耦合,提出了耦合自旋鏈模型。通過調整鏈見耦合强度(將J_⊥從1減弱到0),實現模型從二維系統到准一維系統的變化過程。研究團隊利用量子蒙特卡洛方法模擬了耦合自旋鏈模型,設計了觀察自旋激發與鍵激發的數值方法,不但成功解決了在降維過程中觀測希格斯模式的問題,更觀察到相應理論(塞-高登模型)所預言的標量模式。這些結果反映出了耦合自旋鏈模型是研究希格斯振幅模量子動力學行為的理想模型。
希格斯模式與標量模式的激發譜
在天河二、三號超級電腦的支持下,研究團研究了耦合自旋鏈模型,並在其趨近准一維極限的過程中,觀察得到戈德斯通模式(圖二(g)和(k))、希格斯模式(圖二(h)和(l))和標量模式(圖二2(f)和(j))的激發譜。圖二展示了研究團隊量子蒙特卡洛模擬結合隨機解析延拓技術所獲得的激發譜圖像,其中藍色虛綫為根據高等模型結合平均場理論獲得的各模式色散關係曲綫。從圖二中我們可以看到,計算模擬獲得激發譜與理論預言的色散關係曲綫相互吻合,意味着研究團隊成功捕捉到希格斯模式的信號。這些信號能輔助科學家們設計相應實驗觀測希格斯模式。這些令人振奮的結果將有助我們理解降維過程中的希格斯模式。
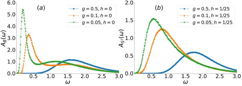
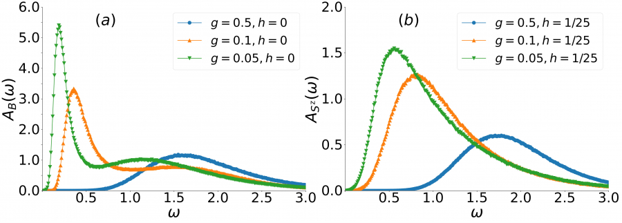
為了進一步地描述希格斯模式和標量模式是如何出現,研究團隊描繪了能譜對頻率的依賴曲綫(如圖三所示),其中g表示耦合自旋鏈模型接近准一維的程度,g=1表示該模型是二維系統,g=0則表示該模型的一維極限。通過對比不同g值下的能譜曲綫,可以看到隨着耦合自旋鏈趨於一維極限的過程中,能譜曲綫出現越來越明顯的尖峰。這種變化意味着明希格斯模式和標量模式的出現,且其信號隨着g的減少而增强。
跨維度模型蘊涵新奇的物理現象
在現代物理理論框架中,維度和對稱性是描述量子多體系統的重要因素。而跨維度的新奇物理現象是量子磁學的一個重要研究方向。研究團隊的這項研究,提供了一個極具吸引力的模型,為人們理解維度是如何影響物理系統提供了重要的數據支持,將激勵科學家和工業界研發下一代的量子科技產品。
關於研究團隊
周成康先生為港大理學院物理與天文學研究部博士研究生,其導師為孟子楊博士。
本工作獲得香港特別行政區研究資助局(包括卓越學科領域計劃「二維材料研究:新興技術的基礎」)、港大理學院計算研究啟動計劃和港大資訊技術服務中心的支援。我們亦感謝廣州國家超級計算機中心天河2號超算平臺提供了豐富的高性能資源。
論文連結:
https://journals.aps.org/prl/abstract/10.1103/PhysRevLett.126.227201
圖片下載及說明:https://www.scifac.hku.hk/press
傳媒如有查詢,請聯絡港大理學院外務主任杜之樺(電話: 3917 4948 ; 電郵: caseyto@hku.hk)或助理傳訊總監陳詩迪(電話: 3917 5286;電郵: cindycst@hku.hk)