香港大學(港大)物理學系的研究團隊運用超級計算機進行大規模的數值模擬,發現歸納高度糾纏量子的獨特物質形態「量子自旋液體」的明確測量方法。研究論文已於量子材料研究期刊 npj Quantum Materials 上發表。
美國物理學家菲利普•安德森(1977年諾貝爾物理學獎得獎者)於1973年提出量子自旋液體(一種即使在極低温的環境下依然可保持無序的物質相)的概念。後續的研究指出量子自旋液體有望成為拓撲量子計算機的物質載體,大大提高現時半導體計算機的計算能力,亦有望協助科學家理解高溫超導背後的機制,從而研發出室溫超導體,並將之運用在日常生活之中,例如減少電力傳輸中的熱損耗,以及用於建造更加高速的列車等等。
量子自旋液體之所以被稱為液體,是因為材料的内部粒子雖然彼此之間量子相互作用强烈,却能夠在温度極低的環境下仍能保持無序的狀態;量子自旋液體的拓撲序源於長程強烈量子糾纏的作用,而這種拓撲序雖然是一種有組織的結構,卻没有令體系内部的對稱性減少。至目前為止,科學界仍未能透過實驗確切地證明量子自旋液體存在的證據,這主要是因為仍未找到能產生量子自旋液體的完美材料。
有見及此,港大物理學系博士生趙家瑞,聯同陳斌斌博士、嚴正博士,以及孟子楊博士,利用超級計算機在一個被認為有Z2(以2組成的循環羣)拓撲序的籠目(日語:Kagome)晶格模型 (二維籠目晶格自旋模型具有奇妙的量子相互作用,看起來近似日本傳統的編織竹紋)中成功探測到量子自旋液體相。團隊通過一個經巧妙設計的數值實驗,精確地探測到該模型的拓撲熵(Topological Entropy),並得到和理論預期一致的結果,從數值的角度發現了一個證明量子自旋液體存在的強烈證據。
「我們運用了先進的超級計算機,成功地在一個被認為有拓撲序但十分複雜的模型上精確測量到拓撲熵。此發現讓科學家對確認量子自旋液體的存在邁進一步。」文章的第一作者、港大物理學系博士生趙家瑞說。
「數值模擬已成為研究量子材料的新潮流和主要方向。我們的算法和數值計算可以幫助發現更多有趣和新奇的量子物態,這些發現將促進量子科技的發展,並以此為基礎研究建立量子物質研究的新範式。」領導團隊的港大物理學系副教授孟子楊博士補充道。
研究内容
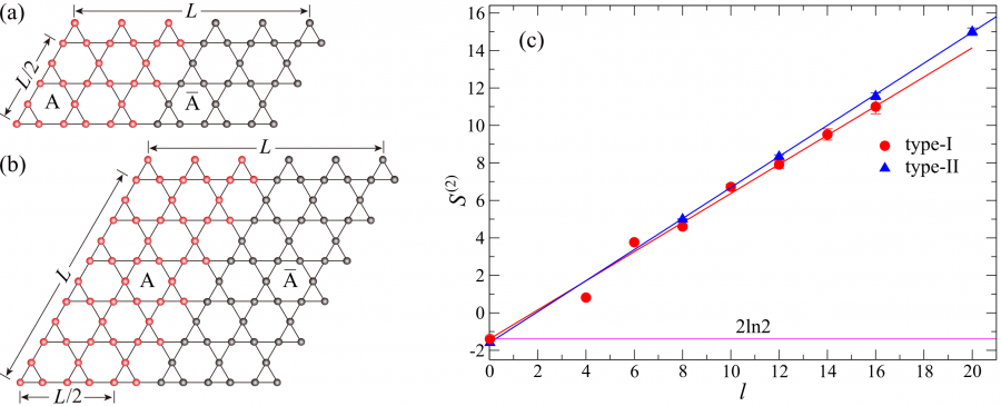
研究團隊在BFG模型中將估計是自旋液體的相態裏進行了一個數值實驗,其原理如圖二所示。圖中描繪了一個非平衡演化過程,而系統的糾纏熵(S)可通過計算對應體系的自由能(Free Energy)的差距得到。拓撲序的拓撲熵(γ)和總的糾纏熵有以下關係:S=al-γ,其中 l 代表系統的糾纏邊界的長度。只須計算不同糾纏邊界長度下的糾纏熵,就可以通過線性擬合來得到拓撲熵的取值。
圖三展示了在兩種不同的格點上進行數值實驗所得的糾纏熵和糾纏邊界長度,以及兩者關係之間的結果;運用兩種不同的格點是為了提高數據的可信度。如前面所述,由於糾纏熵和糾纏邊界的長度有線性關係,因此我們能用直線去擬合得到的數據。線性擬合得到拓撲熵的取值為 1.4(2),跟理論上的預言值 2ln(2) 完美吻合,說明我們發現了理論預言在量子自旋液體中存在的拓撲序,從數值角度證明了量子自旋液體是存在的。
關於研究團隊
此研究由港大物理學系的博士生趙家瑞、陳斌斌博士和嚴正博士合作而成,並在孟子楊博士的指導下完成。這項研究獲香港研資局、卓越學科領域計劃二維材料研究:面向新興技術的基礎項目、國家自然科學基金委員會資助及港大-TCL人工智能聯合研究中心的種子基金「量子啟發可解釋人工智能」的資助。我們感謝港大資訊科技服務處和港大 HPC2021 高性能計算平台,以及中國國家超級計算廣州中心天河2號平台提供的技術支援和大量高性能計算資源,為本文的研究成果作出貢獻。
研究論文可在以下網址獲得:https://www.nature.com/articles/s41535-022-00476-0
圖片下載和說明:https://www.scifac.hku.hk/press
傳媒查詢,請聯絡外務主任杜之樺(電話:3917-4948;電郵:caseyto@hku.hk)及理學院助理傳訊總監陳詩迪女士(電話:3917-5286;電子郵件:cindycst@hku.hk)。