量子科學不但加深了人類對物質結構及其微觀相互作用的理解,還引入了新的計算和信息科學範式 — 量子計算和模擬;而一個有關量子信息學的研究在近日更獲得了2022年諾貝爾物理學獎。在眾多量子模擬實驗平台中,里德堡原子陣列(Rydberg atom arrays) 因其量子比特數最多、實驗精確度最高,被認為是近年的可編程量子模擬器平台中最有希望展現量子優越性的量子計算和模擬系統。
這種光晶格陣列由中性鹼土原子組成,而這原子具有較大的偶極矩(dipole moments),被排佈在微觀偶極阱陣列中(microscopic dipole traps),科學家因而可以隨意移動其位置設計成適用在研究上的晶格結構。每個原子都可以由外加的激光或微波被激發到它的里德堡態,而每雙激發態會通過它們的偶極矩產生遠距離相互作用,實現各種複雜的量子多體現象 (見圖二)。隨着里德堡原子陣列實驗研究的快速發展,這個實驗平台在探求複雜多體系統中的新奇量子糾纏物態方面也展現出優勢。通過里德堡原子陣列實現新奇量子相變和拓撲序等實驗工作正受世界廣泛關注。
然而,里德堡陣列中的遠程相互作用和里德堡封鎖(Rydberg blockade)機制有利亦有弊。一方面,它們確實帶來前面所提及的實驗量子控制的高精密度,但另一方面,它們對系統的建模施加了更多的約束條件,而這類量子約束多體系統,無論從理論理解還是數值計算角度來看都十分難以理解。可是,倘若對系統相圖(complete phase diagram)和新奇糾纏量子物態的精確性理解不足,都會對進一步進行實驗探索造成困難——這可說是該領域的科學家正面臨的巨大難題。
最近,由香港大學(港大)物理學系的研究助理教授嚴正、副教授孟子楊,與來自哈佛大學的著名理論物理學家兼美國科學院院士Subir SACHDEV教授以及其學生Rhine SAMAJDAR博士(目前是普林斯頓大學博士後研究員),加上北航杭州創新研究院(餘杭)/中法航空大學(籌建中)的王艷成研究員所組成的五人研究團隊克服了種種困難,對里德堡原子陣列中的新奇量子糾纏物相和相變作了強而有力的回答,相關研究成果已於權威科學學術期刊《自然通訊》(Nature Communications)中發表。
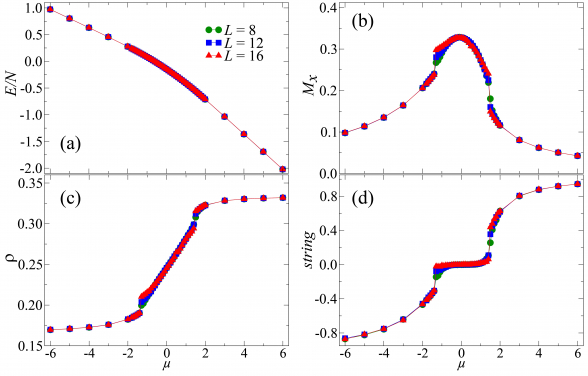
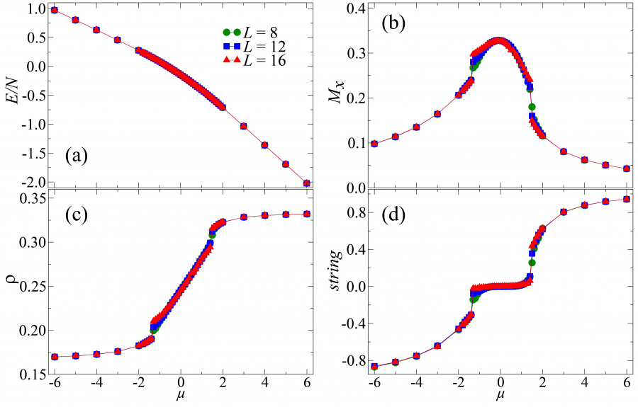
團隊設計了一種新且具有軟約束的三角形晶格量子二聚體模型,使其盡可能接近里德堡原子陣列的實驗條件,並發展了相應的掃描團簇量子蒙特卡洛算法(Sweeping Cluster Algorithm),可以有效地求解這種軟約束的量子多體系統。他們的模擬和理論分析成功地繪製出具有强阻挫和强糾纏效應的Kagome晶格上里德堡陣列的預期物態變化相圖(如圖三所示)。團隊不僅發現了常規的向列固態和交錯固態相和順磁態(paramagnetic phase, PM),而且在相圖中還發現了新奇糾纏量子物態 — 兩種Z2量子自旋液體(quantum spin liquid, QSL)。
他們通過設計一些非局域測量量(弦算符)和其他物理觀測量,在量子蒙特卡洛計算中來識別這些高度糾纏的拓撲相,成功區分了不同物相(如圖三所示),他們的結果區分模型中常規物態如順磁態(paramagnetic phase, PM)和量子糾纏物態 — 量子自旋液體(QSL) 的參數範圍,這對往後部署進行里德堡陣列實驗非常有用。此外,他們還研究了Z2量子自旋液體中分數化激發準粒子的動力學和相互作用,為進一步實驗提供了更多可能的證據。
研究結果顯示了他們所設計模型具有豐富的物理内容,並找出了在里德堡封鎖和長程相互作用下產生的新奇量子糾纏物態和對應相變。他們的研究為該領域未來的發展提供理論方向數值指導,詳情請參看研究論文: https://www.nature.com/articles/s41467-022-33431-5
這項研究獲香港研資局、卓越學科領域計劃「二維材料研究:面向新興技術的基礎」項目、中國自然科學基金委員會,以及香港大學-TCL人工智能聯合研究中心的種子基金「量子啟發可解釋人工智能」資助。團隊感謝港大資訊科技服務處的 HCP2021 超算平台,以及中國國家超級計算廣州中心天河2號超算平台提供的技術支持和大量的高性能計算資源,為本文的研究成果作出貢獻。
相⽚下載及說明:https://www.scifac.hku.hk/press
傳媒如有查詢,請聯絡理學院外務主任杜之樺(電話:3917 4948 ; 電郵:caseyto@hku.hk / 助理傳訊總監陳詩迪(電話:3917 5286 ; 電郵:cindycst@hku.hk)。